QOJ.ac

QOJ

Time Limit: 3 s Memory Limit: 2048 MB Total points: 100 Interactive

#10182. 진화 2

统计

我们正在研究生物的进化历程。除了最初的生物外,所有生物都由已存在的生物进化而来。我们把已存在的生物称为父母生物,新诞生的生物称为子生物

$N$ 个生物各有一个独一无二的出生编号,范围从 $0$ 到 $N-1$。这些编号按生物诞生的顺序分配,因此父母生物的出生编号总是小于子生物的编号,而最初生物的出生编号为 $0$。

生物通过进化诞生的过程可以用一个树形结构来表示:生物是树中的节点,进化关系是连接父母生物和子生物的边,最初生物作为树的根。这个结构被称为进化树

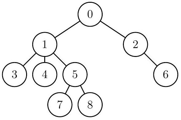
例如,假设最初编号为 $0$ 的生物进化出编号为 $1$ 和 $2$ 的生物,编号 $1$ 的生物进化出编号 $3$、$4$、$5$ 的生物,编号 $2$ 的生物进化出编号 $6$ 的生物,而编号 $5$ 的生物又进化出编号 $7$ 和 $8$ 的生物,这样的进化树如下图所示,每个节点标有生物的出生编号。

problem_10182_1.jpg

但不幸的是,你的珍贵进化树不小心洒上了咖啡。咖啡浸湿后,进化树的形状和最初生物(编号 $0$)还能辨认,但除最初生物外的其他生物的出生编号已无法识别。

problem_10182_2.jpg

你赶紧给每个生物临时编了个编号:最初生物的临时编号仍为 $0$,其余 $N-1$ 个生物被随机分配了 $1$ 到 $N-1$ 的不同编号。这些临时编号可能与出生编号相同,也可能不同,且不像出生编号那样保证父母生物的编号小于子生物。

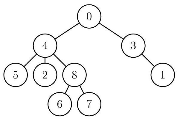
例如,同一进化树可能被临时编号如下图所示,每个节点标有临时编号。

problem_10182_3.jpg

幸运的是,你的电脑里存有进化树的备份,但备份文件被加密,你忘记了密码。好在备份程序还能用。程序提供了一个功能:输入两个生物的临时编号,它会告诉你哪个生物的出生编号更小。但若频繁使用这个功能,你的电脑可能会崩溃。因此,你需要编写代码,用尽量少的查询次数恢复进化树中所有生物的出生编号。

实现细节

你需要实现以下函数:

std::vector<int> recover(int N, std::vector<int> U, std::vector<int> V)
  • 该函数在一次执行中可能被调用多次。
  • U, V:长度为 $N-1$ 的整数数组。对于任意 $0 \leq i \leq N-2$,表示进化树中临时编号为 $U[i]$ 的生物是父母,临时编号为 $V[i]$ 的生物是子生物。所有 $V[i]$ 互不相同。
  • 你需要在每次调用中,通过调用后续定义的 compare 函数(可调用 $0$ 次或多次),找出进化树中每个生物的出生编号,并将其存入一个大小为 $N$ 的 std::vector 返回。设返回值为 $X$,则对于所有 $0 \leq i \leq N-1$,临时编号为 $i$ 的生物的出生编号应为 $X[i]$。

程序可调用以下函数:

int compare(int a, int b)
  • $a$ 和 $b$ 必须满足 $0 \leq a, b \leq N-1$ 且 $a \neq b$。
  • 若临时编号为 $a$ 的生物的出生编号小于临时编号为 $b$ 的生物的出生编号,返回 $1$;否则返回 $0$。

你提交的代码不得包含任何输入输出函数。

样例数据

假设 $N = 4$,$U = [0, 0, 0]$,$V = [1, 2, 3]$。评测程序调用:

recover(4, [0, 0, 0], [1, 2, 3])

树的结构如下图:

problem_10182_4.jpg

假设出生编号如下: - 临时编号 $0$:出生编号 $0$(固定) - 临时编号 $1$:出生编号 $2$ - 临时编号 $2$:出生编号 $3$ - 临时编号 $3$:出生编号 $1$

初始时,可能的出生编号排列有 $[0,1,2,3], [0,1,3,2], [0,2,1,3], [0,2,3,1], [0,3,1,2], [0,3,2,1]$,共 $P = 6$,故 $Z = \left\lceil \log_{2} 6 \right\rceil = 3$。
通过以下调用: - compare(1, 2) 返回 $1$($2 < 3$) - compare(2, 3) 返回 $0$($3 > 1$) - compare(1, 3) 返回 $0$($2 > 1$) - compare(0, 3) 返回 $1$($0 < 1$)

调用 $4$ 次后返回 $[0, 2, 3, 1]$,结果正确。此时 $C = 4$,$K = \frac{4}{3} \leq 1.4$,得满分。此样例满足子任务 $2$ 和 $4$ 的条件。

子任务

对于所有输入数据,满足:

  • $2 \leq N \leq 10000$
  • 对于所有 $0 \leq i \leq N-2$:
    • $0 \leq U[i] \leq N-1$
    • $1 \leq V[i] \leq N-1$
    • $U[i] \neq V[i]$
  • 输入数据构成一个有效的进化树。
  • 一次执行中所有 recover 调用中 $N$ 的总和不超过 $10000$。
  • 本题的评测程序是非自适应的(NOT adaptive),即各生物的出生编号在程序开始时已固定,不会因 compare 调用而改变。

详细子任务附加限制及分值如下表所示。

子任务 分值 附加限制
$1$ $1$ 进化树中不存在与三个以上生物相邻的生物,且最初生物只与一个生物相邻
$2$ $7$ 对于所有 $0 \leq i \leq N-2$,$U[i] = 0$
$3$ $12$ 可为进化树中的每个生物重新分配一个颜色 $c$ $(0 \leq c \leq N-1)$,使得对于所有 $1 \leq i \leq N-1$,颜色为 $i$ 的生物的父母颜色为 $\left\lfloor\frac{i-1}{2}\right\rfloor$,且存在正整数 $k$ 满足 $N = 2^{k} - 1$。即进化树是完全二叉树
$4$ $80$ 无附加限制

每次 recover 调用按以下方式评分。各子任务的得分取该子任务内所有测试用例中 recover 调用得分的最小值

  • 若程序异常终止或 recover 返回值错误,得 $0$ 分。
  • 在未知 compare 提供的编号大小关系及子任务限制时,对于 $0 \leq i \leq N-1$,临时编号为 $i$ 的生物的出生编号为 $X[i]$ 的可能排列 $X$($0, 1, \cdots, N-1$ 的顺序)数量记为 $P$。因正确答案也是可能的 $X$ 之一,$P$ 为正整数。定义 $Z = \left\lceil \log_{2} P \right\rceil$,$C$ 为本次调用中 compare 的调用次数。得分由 $K = \frac{C}{Z}$ 决定。若 $Z = 0$ 导致 $K$ 未定义,则当 $C = 0$ 时 $K = 0$,当 $C > 0$ 时 $K = 2025$。

  • 若 $K > 20$,得 $0$ 分。

  • 若 $8 < K \leq 20$,得该子任务分数的 $\left(5 \times \frac{20 - K}{12} + 5\right)$%。
  • 若 $2.5 < K \leq 8$,得该子任务分数的 $\left(50 \times \frac{8 - K}{5.5} + 10\right)$%。
  • 若 $1.5 < K \leq 2.5$,得该子任务分数的 $(20 \times (2.5 - K) + 60)$%。
  • 若 $1.4 < K \leq 1.5$,得该子任务分数的 $\left(10 \times \frac{1.5 - K}{0.1} + 80\right)$%。
  • 若 $K \leq 1.4$,得该子任务分数的 $100\%$。

样例交互库

示例评测程序接收测试用例数量 $T$,随后接收 $T$ 组输入,每组包括:

  • 第 $1$ 行:$N$
  • 第 $2$ 行:$PAR[1]\ PAR[2]\ \cdots\ PAR[N-1]$
  • 第 $3$ 行:$Y[0]\ Y[1]\ \cdots\ Y[N-1]$

其中: - $PAR[i]$:出生编号为 $i$ 的生物的父母出生编号,满足 $0 \leq PAR[i] < i$。 - $Y[i]$:出生编号为 $i$ 的生物的临时编号,$Y[0] = 0$,且 $Y$ 是 $0, 1, \cdots, N-1$ 的排列。

对每个测试用例,程序根据进化树构造 $U$ 和 $V$,调用 recover,并输出:

  • compare(a, b) 的 $a, b$ 不满足 $0 \leq a, b \leq N-1$,输出 Wrong Answer [1]
  • 若 $a = b$,输出 Wrong Answer [2]
  • recover 返回数组长度不为 $N$,输出 Wrong Answer [3]
  • 否则,第一行输出 C: 4($C$ 为 compare 调用次数),第二行输出 recover 返回值 $X$ 的元素。

输出 Wrong Answer 后程序立即终止。

注意,正确输出应满足 $Y[X[i]] = i$,但示例程序不验证这一点,且可能与实际评测程序不同。

About Issues

We understand that our problem archive is not perfect. If you find any issues with the problem, including the statement, scoring configuration, time/memory limits, test cases, etc.

You may use this form to submit an issue regarding the problem. A problem moderator will review your issue and proceed it properly.

STOP! Before you submit an issue, please READ the following guidelines:

  1. This is not a place to publish a discussion, editorial, or requests to debug your code. Your issue will only be visible by you and problem moderators. Other users will not be able to view or reply your issues.
  2. Do not submit duplicated issues. If you have already submitted one, please wait for an moderator to review it. Submitting multiple issues will not speed up the review process and might cause your account to be banned.
  3. Issues must be filed in English or Chinese only.
  4. Be sure your issue is related to this problem. If you need to submit an issue regarding another problem, contest, category, etc., you should submit it to the corresponding page.

Active Issues 0

No issues in this category.

Closed/Resolved Issues 0

No issues in this category.