有 $n$ 座城市,编号从 1 到 $n$,由 $m$ 条双向道路连接,每条道路长度均为 1 公里。道路网络构成一个连通的简单图。
每座城市生产 $k$ 种农产品中的恰好一种,产品编号从 1 到 $k$。城市 1 是所有产品必须运往的主要港口。
政府希望评估出口农产品的最坏情况运输成本和时间。为此,他们需要针对每种产品类型,确定该产品的所有产地城市到港口城市的最短距离(以公里为单位)中的最大值。
你的任务是计算每种产品类型的这一最大最短距离。
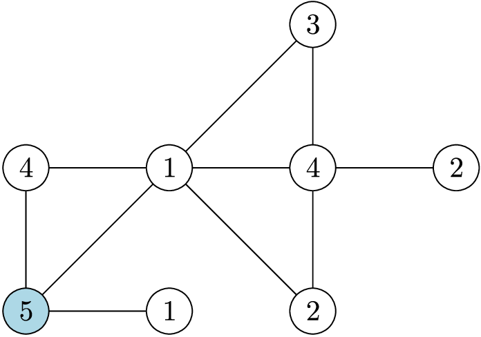
图 1:样例 2 的示意图。
输入格式
第一行包含三个整数 $n$、$m$ 和 $k$,分别表示城市数量、双向道路数量和产品类型数量。
第二行包含 $n$ 个整数 $a_1, a_2, \dots, a_n$,其中 $a_i$ 是城市 $i$ 生产的产品类型。
接下来的 $m$ 行中,第 $i$ 行包含两个整数 $u_i$ 和 $v_i$,表示第 $i$ 条双向道路连接城市 $u_i$ 和 $v_i$。
- $1 \le n \le 2 \times 10^5$
- $0 \le m \le 2 \times 10^5$
- $1 \le k \le n$
- $1 \le a_i \le k$
- $1 \le u_i, v_i \le n$
- 图是连通且简单的(没有自环或重边)。
- 从 1 到 $k$ 的每种产品类型至少由一座城市生产。
输出格式
在一行中输出 $k$ 个整数。第 $i$ 个整数应为生产产品 $i$ 的所有城市到港口城市 1 的最大最短距离(以公里为单位)。
样例
输入 1
3 3 2 2 1 1 1 2 3 1 3 2
输出 1
1 0
输入 2
8 10 5 5 1 1 2 4 4 2 3 8 2 4 6 6 2 5 2 2 7 8 6 1 2 7 6 3 1 1 5
输出 2
1 3 2 2 0
说明
样例 2 的解释:图 1 展示了这个样例。在此样例中,港口是蓝色节点。所有产品类型 5 的货物已经在港口,因此它们的运输成本为 0。产品类型 4 的运输成本较高。其中一个生产产品类型 4 的城市到港口的距离为 1,而另一个距离为 2。因此,该产品的运输成本为 2。