你对图及其性质很感兴趣。在本题中,我们假设所有图均为简单无向图,即任意一对顶点之间最多只有一条边,且每条边连接两个不同的顶点。
图的简单环是指一个由三个或更多不同顶点组成的序列 $(v_1, v_2, \dots, v_c)$,使得对于每个 $1 \le i < c$ 都存在连接顶点 $v_i$ 和 $v_{i+1}$ 的边,且存在连接顶点 $v_1$ 和 $v_c$ 的边。对于简单环 $(v_1, v_2, \dots, v_c)$,其边集定义为 $\{(v_1, v_2), (v_2, v_3), \dots, (v_{c-1}, v_c), (v_c, v_1)\}$,其中 $(v_i, v_j)$ 表示连接顶点 $v_i$ 和 $v_j$ 的边。如果两个简单环拥有相同的边集,则它们是同一个简单环。
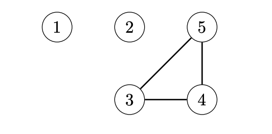
如果一个图中任意两个不同的简单环最多只有一个公共顶点,则该图被称为仙人掌图(cactus)。例如,图 C.1 展示了三个图。图 $X$ 是一个仙人掌图,因为两个简单环 $(1, 2, 3)$ 和 $(3, 4, 5)$ 仅以顶点 3 作为公共顶点。注意,顶点序列 $(1, 2, 3, 4, 5, 3)$ 不构成简单环,因为顶点 3 出现了两次。此外,简单环 $(2, 3, 1)$ 与简单环 $(1, 2, 3)$ 是同一个简单环。同时,图 $Y$ 不是仙人掌图,因为两个简单环 $(1, 2, 4)$ 和 $(2, 3, 4)$ 以顶点 2 和 4 作为公共顶点。图 $Z$ 是一个仙人掌图,因为它只有一个简单环。
图 C.1:图 $X$ 和 $Z$ 是仙人掌图。图 $Y$ 不是仙人掌图。
如果图中任意一对顶点之间都存在路径,则该图是连通的。特别地,只有一个顶点的图是连通的。
对于任何正整数 $k$,如果一个图在移除任意少于 $k$ 条边后仍保持连通,则该图是 $k$-边连通的。特别地,所有连通图都是 1-边连通的。例如,图 C.1 中的图 $Y$ 是 1-边连通和 2-边连通的,但不是 3-边连通的,因为移除与顶点 1 相连的两条边后,图不再连通。
如果图 $H$ 可以通过在图 $G$ 中添加零个或多个顶点和边得到,且不移除 $G$ 中的任何顶点和边,则称 $H$ 是 $G$ 的超图。注意,如果两个图拥有相同的顶点集和边集,则它们是同一个图。例如,在上面的图 C.1 中,图 $X$ 是图 $Z$ 的超图,而图 $Y$ 不是图 $Z$ 的超图,因为它缺少连接顶点 1 和 3 的边。
图 $G$ 的连通度值是最小的正整数 $k$,使得对于任何作为 $G$ 的超图的 $k$-边连通图 $H$,从 $H$ 中移除 $G$ 的所有边后,$H$ 依然保持连通。例如,在上面的图 C.1 中,图 $X$ 是图 $Z$ 的一个 2-边连通超图,从 $X$ 中移除 $Z$ 的所有边后,顶点 1 和 2 与其余部分断开连接,如图 C.2 所示。因此,$Z$ 的连通度值大于 2。可以证明,$Z$ 的连通度值为 3。
给定一个具有 $n$ 个顶点和 $m$ 条边的仙人掌图,顶点编号为 1 到 $n$,边编号为 1 到 $m$。第 $i$ 条边连接顶点 $u_i$ 和 $v_i$。你需要计算该仙人掌图的连通度值。
输入格式
输入的第一行包含两个整数 $n$ 和 $m$ ($1 \le n \le 100\,000$; $0 \le m \le 200\,000$)。接下来的 $m$ 行中,第 $i$ 行包含两个整数 $u_i$ 和 $v_i$ ($1 \le u_i < v_i \le n$)。输入表示一个任意一对顶点间最多只有一条边的仙人掌图。
输出格式
输出给定图的连通度值。
图 C.2:从图 $X$ 中移除图 $Z$ 的边
样例
样例输入 1
4 3 1 2 2 3 1 3
样例输出 1
3
说明 1
这对应于题目描述中的图 $Z$。
样例输入 2
3 0
样例输出 2
1
说明 2
任何 1-边连通超图都是连通图。由于给定图没有边,从连通图中移除给定图的所有边后,图依然保持连通。