QOJ.ac

QOJ

Time Limit: 1 s Memory Limit: 512 MB Total points: 100

#16570. 城市

الإحصائيات

题目描述

小 C 是 F 国的总统,尽管这个国家仅存在于网络游戏中,但他确实是这个国家的总统。

F 国由 $n$ 个城市构成,这 $n$ 个城市之间由 $n-1$ 条双向道路互相连接。保证从任意一个城市出发,都能通过这 $n-1$ 条双向道路,到达任意一个城市。

当然,通过这些双向道路是要收费的。通过第 $i$ 条双向道路,需要花费 $c_i$ 元。我们称 $c_i$ 为第 $i$ 条双向道路的费用。

我们定义 $cost(x,y)$ 表示从城市 $x$ 到城市 $y$ 的简单路径上,所有经过的双向道路的费用之和。特殊地,当 $x=y$ 时,$cost(x,y)=0$。

为了促进 F 国发展,小 C 新建了一个城市 $n+1$。现在他需要再新建一条双向道路,使得城市 $n+1$ 也可以通过这 $n$ 条双向道路到达任意一个城市。

他共有 $q$ 个新建道路的方案,每个方案会给定两个参数 $k_i,w_i$;对于每一个方案,你需要求出在新建一条连接城市 $k_i$ 和城市 $n+1$ 且费用为 $w_i$ 的双向道路后,所有 $cost(i,j)$ 之和,即 $\sum\limits_{i=1}^{n+1} \sum\limits_{j=1}^{n+1} cost(i,j)$。

由于答案可能很大,所以你只需要输出答案对 $998244353$ 取模的结果。

方案之间相互独立,也就是说所有方案不会影响现有的道路,这些方案不会真正被施行。

输入格式

第一行两个整数 $n,q$。

接下来 $n-1$ 行,第 $i$ 行三个整数 $u_i,v_i,c_i$,表示存在一条连接城市 $u_i$ 和城市 $v_i$ 的双向道路,其费用为 $c_i$。

接下来 $q$ 行,第 $i$ 行两个整数 $k_i,w_i$,表示一个新建道路的方案。

输出格式

共 $q$ 行,每行一个整数,第 $i$ 行的整数表示在新建一条连接城市 $k_i$ 和城市 $n+1$ 且费用为 $w_i$ 的双向道路后,所有 $cost(i,j)$ 之和对 $998244353$ 取模的结果,即 $\sum\limits_{i=1}^{n+1} \sum\limits_{j=1}^{n+1} cost(i,j) \bmod 998244353$。

样例 1 输入

4 2
2 1 3
3 2 2
4 2 4
1 2
2 2

样例 1 输出

100
88

样例 1 解释

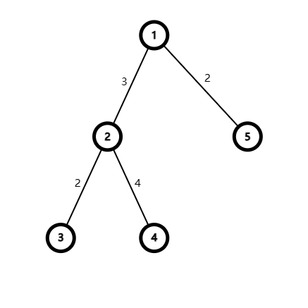
在新建一条连接城市 $1$ 和城市 $5$ 且费用为 $2$ 的双向道路后,F 国的道路如下图所示:

img

例如,此时 $cost(4,5)=9$,$cost(1,3)=5$。

容易求得此时 $\sum\limits_{i=1}^{n+1} \sum\limits_{j=1}^{n+1} cost(i,j)=100$。

样例 2 输入

9 5
2 3 6
6 1 4
5 2 10
2 4 1
9 1 9
2 8 3
1 2 3
7 4 8
4 9
7 3
6 1
9 7
2 1

样例 2 输出

1050
1054
970
1148
896

样例 3

见附加文件中的 city/city3.incity/city3.ans

该样例满足测试点 $4$ 的限制。

样例 4

见附加文件中的 city/city4.incity/city4.ans

该样例满足测试点 $11$ 的限制。

样例 5

见附加文件中的 city/city5.incity/city5.ans

该样例满足测试点 $14$ 的限制。

样例 6

见附加文件中的 city/city6.incity/city6.ans

该样例满足测试点 $20$ 的限制。

数据范围

对于 $100\%$ 的数据,$2 \le n \le 2\times10^5$,$1 \le q \le 2\times10^5$,$1 \le u_i,v_i,k_i \le n$,$1 \le c_i,w_i \le 10^6$,保证从任意一个城市出发,都能通过原本存在的 $n-1$ 条双向道路,到达任意一个城市。

测试点编号 $n \le$ $q \le$ 特殊性质
$1\sim3$ $80$ $80$
$4\sim7$ $5000$ $5000$
$8\sim10$ $5000$ $2\times10^5$
$11\sim13$ $2\times10^5$ $2\times10^5$ A
$14\sim16$ $2\times10^5$ $2\times10^5$ B
$17\sim20$ $2\times10^5$ $2\times10^5$

特殊性质 A:保证对于所有的 $1 \le i \lt n$,都有 $u_i=i,v_i=i+1$。

特殊性质 B:保证对于所有的 $1 \le i \le q$,都有 $k_i=1$。

Discussions

About Discussions

The discussion section is only for posting: General Discussions (problem-solving strategies, alternative approaches), and Off-topic conversations.

This is NOT for reporting issues! If you want to report bugs or errors, please use the Issues section below.

Open Discussions 0
No discussions in this category.

Issues

About Issues

If you find any issues with the problem (statement, scoring, time/memory limits, test cases, etc.), you may submit an issue here. A problem moderator will review your issue.

Guidelines:

  1. This is not a place to publish discussions, editorials, or requests to debug your code. Issues are only visible to you and problem moderators.
  2. Do not submit duplicated issues.
  3. Issues must be filed in English or Chinese only.
Active Issues 0
No issues in this category.
Closed/Resolved Issues 0
No issues in this category.